Començarem per l’experiment de la doble escletxa de Thomas Young. Aquest
experiment va ser realitzat el 1801 i el seu objectiu principal era establir
la naturalesa de la llum. Als cercles científics de l’època el
debat estava centrat a determinar si la llum era una ona o eren un feix de partícules.
El resultat de l’experiment no deixa lloc a dubtes: la llum es comporta com
una ona i després de passar per una escletxa mostra un patró d’interferència
propi d’ones.
L’altre experiment que volem il•lustrar va tenir lloc el 1961 i el va realitzar
Claus Jönsson. Va consistir a fer passar electrons per una doble escletxa
i observar el patró que generaven. La inspiració de l’experiment
és clara. El resultat en aquest cas és molt més sorprenent.
Per treballar amb els alumnes us proposem dos muntatges experimentals:
Consisteix a fer passar un feix de llum, en el nostre cas un feix làser, per una doble escletxa, una xarxa de difracció, i intentar obtenir un patró d’interferència. Ens proposem determinar experimentalment la longitud d’ona del làser incident.
El làser pot ser de qualsevol longitud d’ona i la xarxa de difracció també pot tenir qualsevol densitat de línies. Nosaltres les vam aconseguir aquí:
A la figura 1 podeu trobar un esquema del muntatge i el patró de difracció a la pantalla.
![]() |
| Fig. 1 |
En el nostre cas disposem de dos làsers més i, no ens hem pogut estar, a la figura 2 us mostrem els tres resultats obtinguts.
![]() |
![]() |
![]() |
| Fig. 2a | Fig. 2b | Fig. 2c |
Nota: Els làsers es poden adquirir fàcilment a través de la xarxa. Aquesta és una de les adreces possibles per comprar-los:
L’experiment realitzat per Thomas Young va consistir a col•limar un feix de llum per fer-lo passar per dues escletxes i d’aquesta manera aconseguir que interferís amb ell mateix. Nosaltres farem exactament el mateix: el feix làser travessarà la xarxa de difracció, interferirà amb ell mateix després de travessar-la i podrem veure’n el patró a la pantalla.
Nota: Una xarxa de difracció (vindria a ser un conjunt molt gran d'escletxes) no és exactament el mateix que un parell d'escletxes. La seva anàlisi és més complicada però té un tractament i uns resultats equivalents, especialment quan el focus i la pantalla estan prou lluny de la xarxa. Aquest seria el nostre cas.
Segons els principis de la interferència produïda per dues escletxes, aquesta és constructiva o dóna un màxim quan la diferència de camins recorreguts per dos feixos de llum és un nombre sencer de longituds d’ona, o sigui:
![]()
Treballar a partir d’aquesta fórmula és molt complex i es pot fer servir una aproximació. En podeu trobar la demostració aquí:
Segons una imatge (vegeu la figura 3) extreta de l'enllaç anterior:
![]() |
| Fig. 3 |
on
i
són dues escletxes de la xarxa de difracció,
és
la distància del camins recorreguts i
i
, els punts on es
troben els màxims de llum.
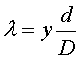
La fórmula simplificada és

on
és la distància
entre el màxim central i el primer màxim,
és
la densitat de línies de la xarxa de difracció i
és
la distància fins ala pantalla.
A la taula següent podeu trobar les nostres mesures, en aquest cas utilitzant
una xarxa de difracció:
![]() |
| Taula 1 |
En primer lloc, és un experiment senzill de realitzar i alhora els
resultats obtinguts criden l’atenció pel grau de precisió que
presenten comparats amb els valors dels fabricants.
En segon lloc, ens permet una ampliació molt assequible que consisteix
a donar als alumnes un parell de xarxes de difracció i plantejar-los
que esbrinin la densitat de línies que tenen.
També podem proposar a l'alumnat que construeixi una escletxa prou estreta
per observar la difracció de Fraunhofer, amb resultats semblants als
obtinguts amb una xarxa de difracció. Utilitzant dues fulles de cúter
i ajuntant-les amb cinta aïllant es pot obtenir una escletxa que mostra
un patró d’interferència. Amb uns quants intents es pot arribar
a ajuntar-les prou perquè mostrin un patró d’interferència
que pugui ser mesurat.
També ens permet plantejar algunes preguntes abans de preparar el segon
muntatge.
Si la llum és una ona, què són els fotons?
La llum passa per una escletxa o per totes dues? I els fotons?
Si els fotons són partícules, ocupen espai? I tindran massa?
Una vegada realitzat el primer podem passar al segon muntatge.
![]() |
| Fig. 4a |
![]() |
| Fig. 4b |
Aquesta proposta ja no és reproduïble tal com la va fer Claus Jönsson.
No podem fer passar electrons per una doble escletxa a l’escola, però
sí que podem intentar modificar el nostre patró d’interferència
perquè s’assembli al patró dels electrons que va trobar Claus
Jönsson i veure si hi ha similituds. Tot i que l'experiència experimental
és pràcticament la mateixa, l’objectiu en aquest segon muntatge
és molt diferent del primer.
Els electrons quan són emesos surten en totes direccions, però
quan passen per les escletxes verticals interfereixen i donen un patró
de línies també verticals. En el làser (emissió
puntual), quan realitza interferències s'observa un patró de punts.
Així doncs, per poder facilitar la comprensió dels alumnes i la
comparació d’un patró d’electrons amb un patró làser
hem considerat convenient transformar el punt làser en una línia
làser. D’aquesta forma donarà un patró d’interferència
semblant al dels electrons.
El mateix que l'anterior experiència però hi afegirem una peça
clau.
Extraurem d’un nivell làser (figura 4a) un dels dispositius òptics
(figura 4b) que converteixen un punt làser en una línia làser.
El nivell làser nosaltres l’hem obtingut aquí:
A continuació posarem una coberta per obtenir un patró col·limat.
El muntatge quedarà tal com es veu a la figura 5:
![]() |
| Fig. 5 |
Imatges dels tres patrons d’interferència (figura 6) obtinguts amb tres làser de diferents longituds d’ona amb la mateixa xarxa de difracció:
![]() |
![]() |
![]() |
| Fig. 6a | Fig. 6b | Fig. 6c |
A continuació podem veure la imatge (figura 7) d’un patró d’interferència obtingut a partir d’electrons que han travessat una doble escletxa.
![]() |
| Fig. 7 |
En aquest segon muntatge, els alumnes en primer lloc poden obtenir els patrons dels tres làsers i després se’ls proporciona el patró dels electrons (figura 7) sense esmentar-ne el nom de les partícules. Cal preguntar-los:
Trobeu similituds entre els diferents patrons, els vostres i el de la figura 7?
Si els sembla que la figura que els hem proporcionat és un patró d’interferència podem fer les preguntes:
Quin podria ser el feix de llum incident?
A quin tipus de radiació correspon?
A continuació se’ls diu que és una imatge obtinguda fent passar
electrons per una doble escletxa i se’ls plantegen les qüestions següents:
Els electrons són partícules o ones?
Els electrons poden passar per les dues escletxes alhora? Si és així, es trenquen i es tornen a ajuntar?
Si es tapa una escletxa es mantindrà el patró d’interferència?
Com saben els electrons que s’ha tapat un forat per realitzar o no la interferència en la pantalla?
Aquest segon experiment ens permet aprofundir una mica en el fenomen de la
interferència i ens dóna peu a introduir conceptes de física
moderna com la dualitat ona-corpuscle.
La resposta a les preguntes que hem preguntat als alumnes es troba precisament
a considerar l’electró com a dual: en certs experiments manifesta una
naturalesa ondulatòria, com la doble escletxa, i en d’altres manifesta
una naturalesa corpuscular, com l’efecte fotoelèctric.
L’objectiu principal era aconseguir que els alumnes aprofundissin en la comprensió
del fenomen de les interferències. Paral•lelament hauran pogut tastar
la gran potencialitat de les mesures fetes per interferometria.
El segon objectiu era plantejar algunes preguntes de física moderna d’una
forma una mica més experimental que la convencional i, alhora, comparar
un patró d’interferència de la llum amb un patró obtingut
a través de feixos d’electrons. Pot ser una bona manera d’endinsar-se
en les paradoxes de la física quàntica.
Autor d'aquesta pàgina:Santi Vilchez, professor de física a l’escola Tecla Sala a l’Hospitalet.
Aquesta
obra està subjecta a una
Llicència
de Creative Commons
![]()