Solucionem el problema observant el cotxe des d'un
sistema de referència inercial que es mou amb velocitat constant
en la direcció del túnel i mòdul igual a la velocitat
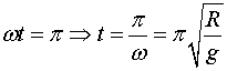
del cotxe en aquesta direcció, Així, si el túnel fa R=5m de radi:
Si tenim en compte que per fer la virolla el cotxe ha de recórrer
una longitud transversal
Que és un temps bastant més petit que l'utilitzat per en Shumacher a l'anunci. Així, tot sembla indicar que l'anunci no és del tot realista! |
![]() |
La justificació de la manera de procedir anterior
és dir que plantegem les lleis de la mecànica en un sistema
de referènca inercial que viatja amb velocitat constant Si el problema el volem solucionar en el sistema de
referència fix al túnel tenim que, de fet, el cotxe fa
una trajectòria en forma d'hèlix de radi R
i pas de rosca constant H.
La velocitat del cotxe per aquesta trajectoria és v.
Utilitzarem el radi de curvatura de l'hèlix
Utiitzant ara les mateixes expressions d'abans, aplicades ara a la trajectòria en hèlix, trobem
la velocitat que es requereix depèn, com era d'esperar, del pas de rosca, és a dir de la llargada de la virolla. |
![]() |
Ara el temps:

Que resulta ser independent de la llargada de la virolla i coincideix amb el càlcul que hem fet en el sistema de referència inercial mòbil, com era d'esperar!
Evidenment tot això sembla força complicat. Una
altra manera de fer les coses és resoldre el problema a partir de l'expressió
de la trajectòria i la llei moviment de Newton. La trajectòria,
amb les condicions inicials a l'inici de la virolla ( vegeu la figura 5), és
. L'acceleració
la trobem derivant dos cops ![]()
Ara apliquem
al punt més alt de la trajectòria. En aquest punt el temps compleix
.
Prenent la normal nul·la tindrem
D'aquí obtenim

Així, el temps que triga en fer tota la virolla serà

que coincideix amb el temps obtingut anteriorment.
Autor d'aquesta pàgina: Tavi Casellas, professor de física i química de l’IES-SEP Montilivi de Girona, i Xavier Jaén, professor de física de la UPC.
Aquesta
obra està subjecta a una
Llicència
de Creative Commons
![]()