Que els pols de dos imants encarats es repel•len
o s'atrauen segons que siguin iguals o diferents és "un
joc de nens". En canvi, és sorprenentment desconeguda
la dependència d'aquesta força de la distància,
cosa que, sembla, crea una certa confusió fins i tot entre
els mateixos científics. Així, l’any 1750 el geòleg
i reverend anglès John
Mitchell |
|
|
De fet, les coses són una mica diferents. Evidentment és cert que dues càrregues en repòs compleixen la llei de Coulomb, però els imants no són només càrregues. De fet, la càrrega total d'un imant (no podem dir “de cada pol” perquè els pols no existeixen per separat, però si ens poguéssim permetre aquesta llicència ho diríem) és neutra. El que caracteritza el magnetisme és que les càrregues es mouen. I les càrregues en moviment no es regeixen únicament per la llei de Coulomb. |
|
| Per trobar quina és la força que es fan dos pols magnètics encarats, partim del model en què cada imant és una espira de corrent. Col•loquem les dues espires fent-ne coincidir els eixos i separades una distància z . El camp magnètic creat per una espira a una distància z sobre el seu eix és ben conegut:
|
|
Si z és gran o, més ben dit, si R<<z , tenim
Ho podem escriure una mica més elegantment si
hi introduïm el moment magnètic de l'espira |
|

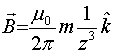
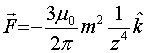
Aquest camp actua sobre l'altra espira, que suposem que té el mateix moment magnètic m. La força que un camp magnètic fa sobre un moment magnètic es pot avaluar amb l'expressió ben coneguda:
![]()
Un càlcul senzill ens dóna en el nostre cas

el signe "
"
indica que la força és atractiva. Si girem una de les espires
serà repulsiva. Sigui com sigui la força és proporcional
a
.
En aquest article proposem un mecanisme una mica menys delicat
que la balança de torsió per mesurar les forces de repulsió
entre els pols dels imants. Els resultats que obtenim permeten discernir entre
el que sembla que va obtenir John (
)
i el que hem deduït aquí mateix (
).
Tot i això, la senzillesa de l’experiment permet proposar-lo com
a pràctica de laboratori per fer amb els alumnes, de manera que ells
puguin esbrinar qui té raó sense passar necessàriament
per la teoria.
Un altre aspecte que pot ser estudiat o, si més no,
observat, és el comportament semblant al d'una molla que tenen els imants
quan oscil·len al voltant de la posició d'equilibri. La força
total que actua sobre l'imant quan és a z
val
, on
.
Aquesta força s'anul·la pel valor
.
Si utilitzem una coordenada z'
per a la qual la posició d'equilibri estigui a z'=0,
tenim
. Amb aquesta
coordenada la força s'expressa com
.
Si ara desenvolupem en sèrie potències respecte de
i ens quedem al primer ordre no nul, obtenim
.
És a dir, per a petites oscil·lacions i per a una càrrega
determinada, el comportament del sistema és com el d'una molla de constant
recuperadora
.
| L’experiment consisteix a enfrontar dos imants de neodimi en forma d’anell en un tub de vidre, en posició vertical i de manera que es repel•lin. Els imants de neodimi proporcionen una força magnètica molt gran, per a qual cosa hem d’anar amb compte com els manipulem, ja que són durs però fràgils i es poden trencar. També ens poden pinçar els dits i s’ha d’advertir de la manera com s’han d’usar a les persones que portin marcapassos i pròtesis a l’oïda. No apilarem més d'un imant en bateria perquè deixarien de ser dos imants "puntuals" i els resultats esdevindrien més difícils d'interpretar. Sense cap sobrecàrrega vàrem aconseguir una separació d’uns 7 cm. Es tracta d'anar col•locant càrregues addicionals, en forma de volanderes (millor si no són de ferro), a sobre de l’imant superior i anar mesurant com disminueix la distància d’equilibri. En cada cas, com que arribem a una posició d’equilibri, apliquem que la força magnètica deguda a la repulsió dels imants ha de ser igual a la força pes deguda a la massa de l’imant i les volanderes. En les imatges que tenim a continuació podem veure els imants, les volanderes i el mecanisme que fem servir. En l’imant superior es pot foradar un regle de 20 cm per la part central o bé un tros de cartró, que s’enganxa a l’imant amb cola. Aquest mecanisme permet fer les mesures amb comoditat i precisió, lluny dels imants; també permet veure si l’imant superior està en una posició perfectament horitzontal. Les mesures de la longitud de separació entre els dos imants les podem fer amb un regle mil•limetrat o bé, si disposem d’un peu de rei, podem millorar la precisió de les mesures; de totes maneres, l’experiència surt bé amb els dos mètodes. |
|
|
|
|
![]() |
| El material que hem fet servir per fer aquesta experiènciaés el següent:
|
|
Autor d'aquesta pągina: Basili Martínez, professor de física i química a l'IES Miquel Martí i Pol de Roda de Ter, i Xavier Jaén, professor de física de la UPC.
Aquesta
obra estą subjecta a una
Llicčncia
de Creative Commons
![]()