Guia
del professorat Es tracta d’un experiment que faig amb els alumnes de
2on de batxillerat dins del tema d’ones i que consisteix a deduir la longitud
d’ona de la llum d’un làser fent reflectir un feix d’aquesta
llum en una pinta metàl·lica.
El faig a classe i, un cop acabat, dono una mica de temps per tal que l'estudiantat
en prengui algunes notes personals. Més endavant acostumo a demanar en
exàmens curts alguna qüestió relativa a la comprensió
de l’experiència.
Especialment aquest experiment m’agrada perquè és molt senzill
de muntar i desmuntar, serveix per entendre el fenomen de la interferència,
és vistós i dóna resultats numèrics bastant bons.
En alguns llibres d’experiments he vist que es fa servir
un disc de vinil o un CD per fer interferències amb l’ajuda d’un
feix de llum làser. Consisteix a posar el disc pla sobre una taula com
us mostra el dibuix i fer-hi reflectir, molt esbiaixat, el feix d’un llum
làser que es recull en una pantalla en un extrem de l’habitació.
Aquesta experiència és molt interessant perquè s'hi pot
veure la figura d’interferència amb molta més nitidesa que
amb altres muntatges.
Té un defecte, i és que costa treure’n resultats pràctics
perquè caldria saber prèviament el nombre de solcs del disc.
El meu cosí, l’Albert Bramon Planas, em va comentar un dia, que
ho havia provat amb un regle graduat i amb una pinta, i que li anava molt bé
perquè d’aquesta manera tenia la distància entre els punts
de reflexió directament.
Sens dubte una pinta metàl·lica (de “pijo”) és
la millor solució. Reflecteix la llum, té una part amb les dents
més separades i una altra amb les pues més juntes, i és
un objecte molt quotidià que no aixeca sospites de cap truc amagat.
Només cal encarar el llum làser a les pues de la pinta i a la
pantalla apareixen un conjunt de punts clars i foscos molt junts (d’aproximadament
1 cm). Vegeu les
figures 2 i 3.
La primera reacció dels estudiants és dir que es tracta del reflex
de cada pua (encara que hi apareixen molts més punts clars que no el
nombre de dents il·luminades). Només cal passar a il·luminar
les pues més separades perquè s’adonin que, encara que s'ilumini
un nombre menor, surten més punts clars i menys separats els uns dels
altres.
No obstant això, també sol passar que algun estudiant digui que
la imatge és alguna mena de filament interior del llum. Es pot respondre
de manera pràctica a aquesta objecció il·luminant la part
massissa de la pinta i comprovant que amb aquest reflex surt només un
punt de llum a la pantalla.
Després, repeteixo l’experiència amb un disc de vinil i
un CD perquè vegin que els punts d’interferència surten
molt més separats i els explico que els punts màxims que veiem
a la pantalla són aquells en què, per la seva posició,
els feixos que surten cap a totes les direccions de les pues de la pinta hi
arriben amb la mateixa fase.

Crec que hem fet la part més important de l’experiència.
Malgrat això, mitjançant la geometria podem fer servir les dades
experimentals que tenim per calcular la longitud d’ona de la llum del
làser.
Primer explico les interferències d’una escletxa de difracció
convencional:

A continuació conveteixo els feixos convergents de la
pinta en feixos paral·lels amb una aproximació que, per a punts
llunyans, és fàcil d’admetre (és el que s'anomena
difracció de Fraunhofer: http://es.wikipedia.org/wiki/Difracción_de_Fraunhofer
):

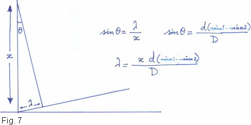
Ara, giro el dibuix fins que el primer feix que dóna un màxim
es col·loca horitzontal :

Em fixo en els triangles que tenen com a altura la línia vertical del
dibuix i faig les deduccions següents mitjançant la trigonometria
( tindrem en compte que si
és
petit (en radians)
):

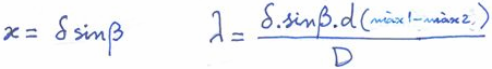
Finalment, poso el valor d’x
en funció de la distància
entre les pues de la pinta i l'angle
entre el pla de la pinta i el primer feix ( vegeu la figura 6) .

Al laboratori del meu institut tenia les dades experimentals següents:
![]()
amb la qual cosa dóna
,
que no està gens malament ja que el làser que tinc és d’heli-neó
vermell, de 0,6328 µm.
Autor d'aquesta pągina: Albert Bramon Professor de física i química l’IES la Garrotxa.
Aquesta
obra estą subjecta a una
Llicčncia
de Creative Commons
![]()