Solució
A les figures 3 i 4 podeu veure el significat dels símbols escollits:

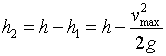
a) A quina alçada comença a frenar l’atracció?
Mentre no arriba a la velocitat màxima no hi ha frenada i el procés
conserva l'energia. Prenem l'origen d'energia potencial gravitatòria
a la base de la torre, de manera que la gòndola comença
a caure des d'una alçada
(vegeu la figura 4):

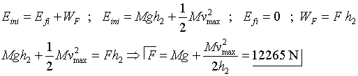
b) Si suposem que la força de frenada és
constant, quin valor tindrà?
La resta de recorregut l'energia gravitatòria i cinètica
són dissipades integrament pel treball de la força de fricció
que actua sobre la gòndola:

c) Quina força fa el seient de la góndola
sobre una persona de massa 60
kg durant la frenada?. Aquesta força serà la responsable
del seu pes aparent.
Tota la gòndola, junt amb les persones, es mouen conjuntament
a la mateixa acceleració a.
La força f
del seient sobre una sola persona serà la responsable que aquesta
es mogui conjuntament amb la gòndola ( vegeu la figura 3):

d) Admetent que el nostre cos, amb un bon coixí,
pot resistir un pes aparent de 5g·m,
en què m
és la massa del cos, a quina velocitat màxima es podria
arribar?
Hem d'anar en compte perquè alterar la velocitat màxima
també altera les alçades a les que s'hi arriba!
Prenem . Tenim,
utilitzant les relacions ja trobades als apartats c) primer
i b) després
però també

Resolvent aquestes dues equacions trobem

És a dir, podriem allargar la caiguda fins a 80
m i frenar durant els restants
20 m amb una força de fricció sobre la góndola
de .
|